硼掺杂金刚石(BDD)因其优异的性能,被视为极具潜力的半导体材料。然而,实现高效的p型导电性仍然具有挑战性,在低硼掺杂浓度下相对较深的受主能级会产生较低的激活效率,限制室温载流子浓度,而重掺杂会导致杂质散射和缺陷形成,从而降低迁移率。
近期,中国科学院上海光学精密机械研究所先进激光与光电功能材料部激光晶体研究中心与南京大学电子科学与工程学院和浙江无限钻科技发展有限公司合作,在硼掺杂金刚石的光电性能提升研究方面取得新进展。
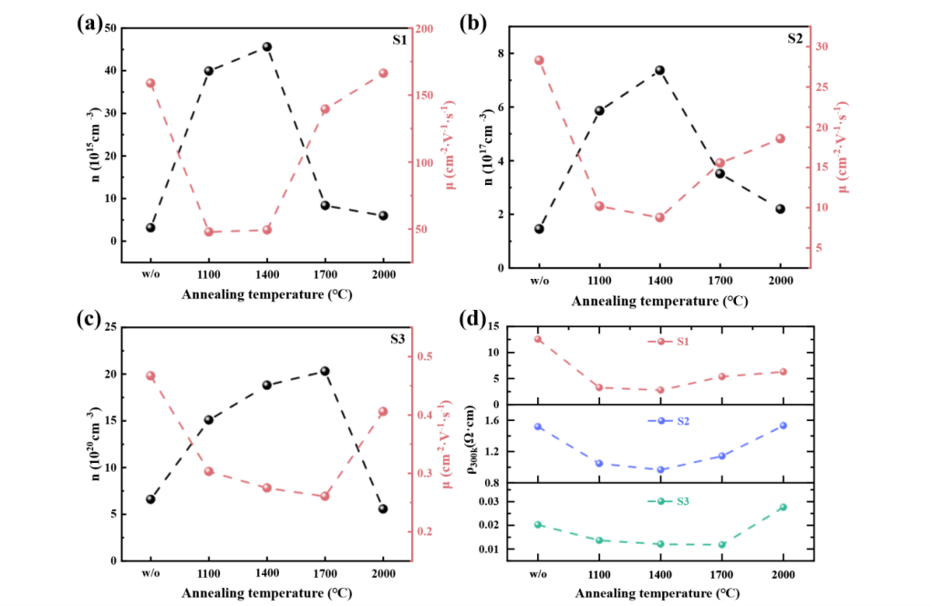
研究团队通过微波等离子体化学气相沉积(MPCVD)生长了不同硼掺杂浓度的金刚石,在5 GPa压力、1100 – 2000 °C温度范围内进行高温高压退火,系统地研究了其光学和电学性能的变化。实验结果显示,在适当的条件下,高温高压退火会使BDD载流子浓度增加一个数量级以上,电导率增加四倍以上,其效果强烈依赖于退火温度和掺杂浓度。综合光谱分析揭示了导致载流子退火温度依赖行为的几个因素,包括晶格应变弛豫、硼束缚激子的修饰和氮空位中心转变。此外,最佳退火温度随掺杂浓度显著变化。这些发现表明,高温高压处理是克服BDD中掺杂限制的一种可行方法,可以推进其在电子设备中的应用。
相关工作得到国家自然科学基金的支持。

图1 不同硼掺杂浓度的BDD样品室温电荷载流子浓度、迁移率和霍尔电阻率与退火温度的关系。

图2 不同退火温度的BDD样品 (a) 213 nm激发的低温(10 K)光致发光光谱;(b) 532 nm激发的室温(300 K)光致发光光谱。