超强激光科学卓越创新简报
(第二百六十三期)
2022年4月14日
上海光机所在可切换多功能超构表面研究方面取得进展
近期,中国科学院上海光学精密机械研究所激光与红外材料实验室在可切换多功能超构表面的研究方面取得进展。该工作基于石墨烯和二氧化钒,在太赫兹波段实现了吸收–透射可切换的多功能超构表面,可用于多波段完美吸收器及太赫兹抗反射涂层。相关研究成果以“Nanolayered VO2-Based Switchable Terahertz Metasurfaces as Near-Perfect Absorbers and Antireflection Coatings”为题发表于ACS Applied Nano Materials。
超构表面一经提出就因其在亚波长尺度操控电磁波的显著能力受到了广泛关注。完美吸收和增强透射是调控电磁波振幅的两种方法,然而,因为吸收、反射和透射之间的关系难以得到平衡,现有的超构表面仅仅具备完美吸收或增强透射二者之一的功能来对电磁波振幅进行调控,实现吸收–透射可切换的光学器件面临严峻挑战。这不利于现代集成化和小型化光学系统的发展。
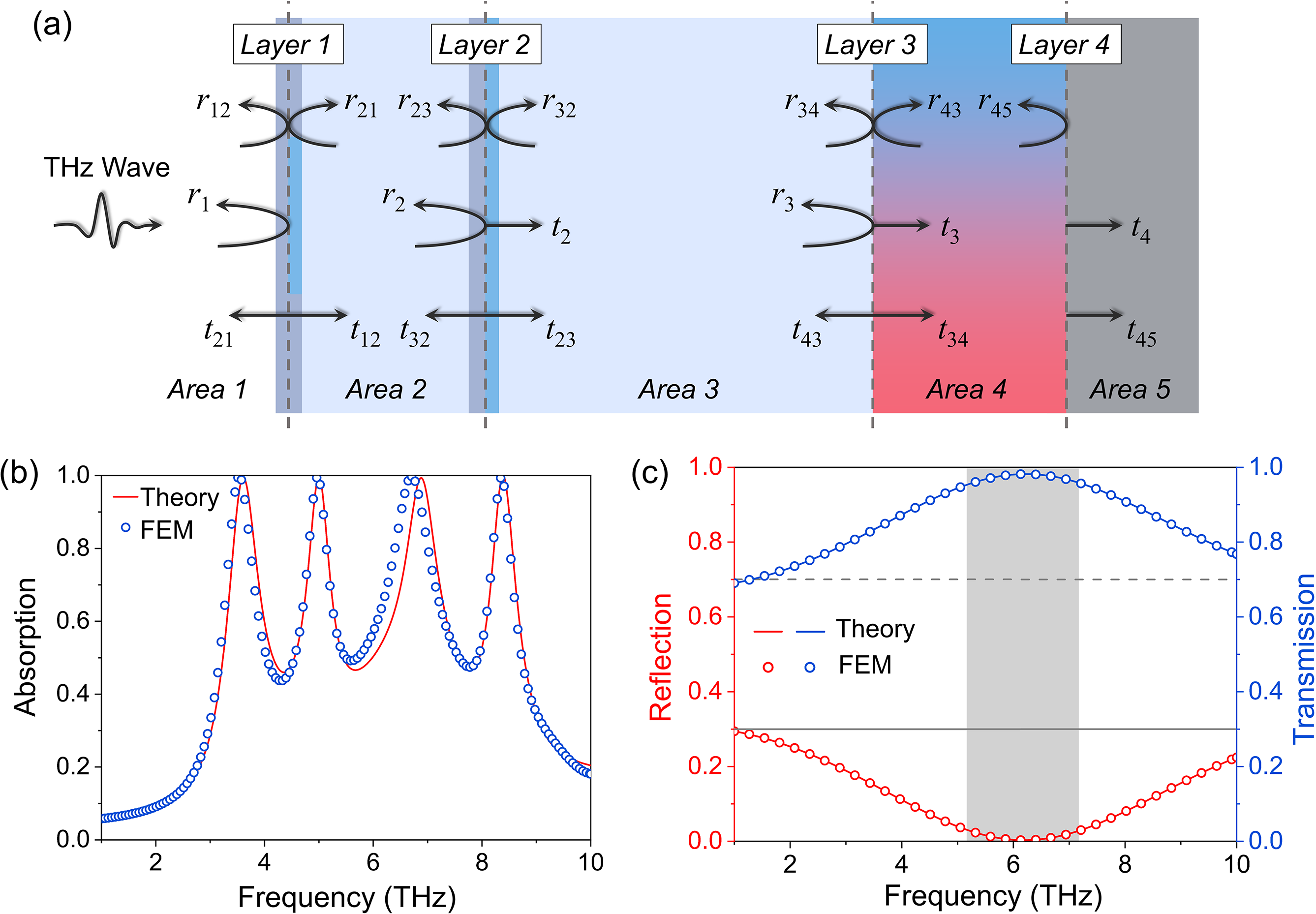
研究团队利用石墨烯的电可调性以及二氧化钒的相变特性,在太赫兹波段实现了集独立可调完美吸收器和抗反射涂层于一体的可切换多功能超构表面。研究发现当二氧化钒为金属态时,所提出的超构表面可用作完美吸收器,并可通过调节石墨烯的费米能级从而实现对四个吸收峰的独立调控;当二氧化钒为介质态时,所提出的超构表面可用作抗反射涂层,在6.2 THz处实现了抑制反射(R = 0.31%)和增强透射(T = 98.2%),这在以往所提出的相关器件中均未实现。此外,利用多重反射干涉理论模型成功解释了两种功能器件的内在物理机制,理论与实验结果符合得很好。该项研究成果不仅具有许多实际应用(电磁隐身、空间调制器和滤波器),而且还为开发具有可切换功能的集成纳米光子器件提供了新的途径。
相关工作得到国家自然科学基金、上海市青年拔尖人才计划等项目的支持。

图1 所提出多功能超构表面的结构示意图。

图2 (a) 所提出超构表面的多重反射干涉理论模型示意图;(b) 当二氧化钒为金属态时,理论和仿真得到的吸收谱;(c) 当二氧化钒为介质态时,理论和仿真得到的透射谱和反射谱。